cW-Wert: Alle Infos rund um den Luftwiderstandsbeiwert
29. April 2025 von Irene Wallner
 
Der cW-Wert bestimmt, wie gut ein Auto gleitet. Ein niedriger Wert bedeutet weniger Luftwiderstand, was zu besserer Leistung und weniger Verbrauch führt. In diesem Ratgeber erklären wir, warum der cW-Wert entscheidend für Effizienz und Fahrspaß ist.
⏰ Kurz zusammengefasst
- Definition cW-Wert
- Berechnung nicht ganz einfach
- cW-Wert = Windschlüpfrigkeit eines Autos
- cW-Wert von SUVs eher schlecht
Wenn du dich für einen Neuwagen interessierst, sind hier ein paar Angebote:
| Modell | Angebote ab | |
| Dacia Spring | 15.689 € | Angebote vergleichen | 
| VW T-Roc | 24.007 € | Angebote vergleichen | 
| Jeep Avenger | 24.885 € | Angebote vergleichen | 
| Mitsubishi Space Star | 11.997 € | Angebote vergleichen | 
| Fiat 500 Elektro | 21.903 € | Angebote vergleichen | 
Was ist der cW-Wert?
Der cW-Wert (Luftwiderstandsbeiwert) ist eine Kennzahl, die angibt, wie stark der Luftwiderstand eines Fahrzeugs ist, wenn es sich bewegt. Dieser Wert wird durch das Fahrzeugdesign und die Form des Autos beeinflusst. Ein niedriger cW-Wert bedeutet, dass das Fahrzeug weniger Luftwiderstand erzeugt, was zu einer besseren Aerodynamik führt.

Hier noch einmal etwas verständlicher und beispielhafter formuliert:
Stell dir vor, du fährst mit dem Auto und die Luft ist wie eine unsichtbare Wand vor dir. Der cW-Wert beschreibt, wie stark diese “Luftwand” dein Auto abbremst. Autos mit einem niedrigen cW-Wert können schneller und effizienter fahren, weil sie weniger Energie aufwenden müssen, um durch die Luftwand zu fahren.
Ein Beispiel:
Ein Auto mit einem cW-Wert von 0,3 ist viel aerodynamischer als ein Auto mit einem Wert von 0,6. Das bedeutet, dass das erste Auto weniger Luftwiderstand hat und somit weniger Kraftstoff verbraucht und schneller sein kann, ohne viel Energie zu verschwenden.
Der cW-Wert ist also ein wichtiger Faktor für den Spritverbrauch und die Geschwindigkeit eines Autos.
So berechnet man den cW-Wert
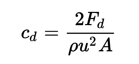
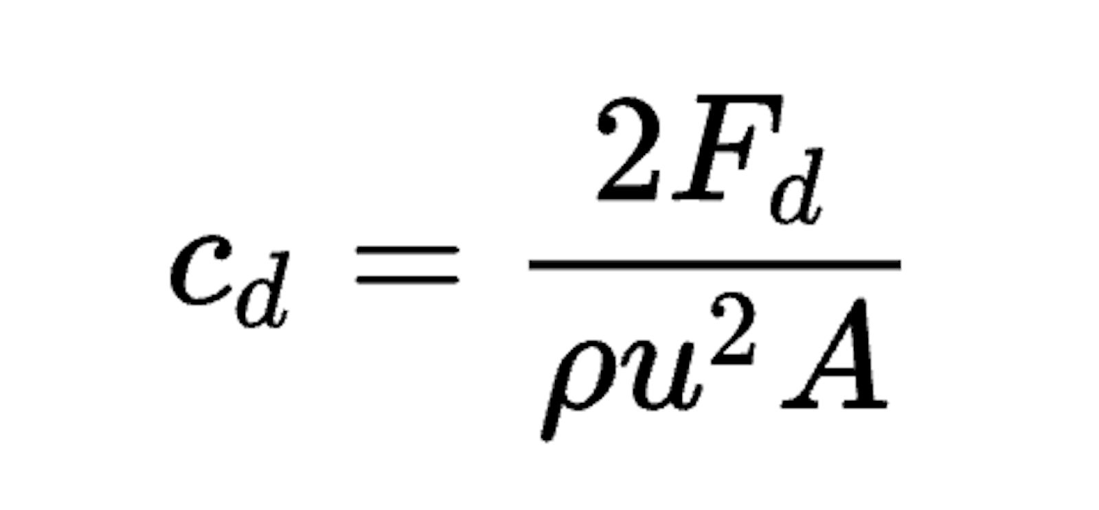
Der cW-Wert ist eine dimensionslos Größe, dementsprechend hat er keine Einheit. Um den Widerstandsbeiwert, also den cW-Wert eines Autos zu berechnen, braucht man einige Daten:
Cd = Strömungswiderstandskoeffizient
Fd = Widerstandskraft
ρ = Dichte des Fluids
u = Geschwindigkeit des Körpers relativ zum Fluid
A = Referenzfläche
Die Formel zur Berechnung des cW-Werts ist dann folgende:

Was man sieht ist, dass die Geschwindigkeit des Körpers relativ zum Fluid (in unserem Fall Luft) nicht immer gleich ist. Deshalb kann ein Auto auch keinen feststehenden cW-Wert haben und wird dementsprechend von den Herstellern als Idealwert im Windkanal ermittelt. Nachdem jeder Autobauer das so macht, kann man die Werte am Ende trotzdem wieder vergleichen.
Auch den Reaktionsweg kann man berechnen, wenn man gerne mit Formeln hantiert.

Was sagt der cW-Wert aus?
Der cW-Wert – oder auch Strömungswiderstanskoeffizient – gibt an, wie windschlüpfrig ein Auto ist. Sein Wert gibt an, wie stark das Fahrzeug der Luftströmung beim Fahren entgegenwirkt. Je geringer der cW-Wert, desto geringer ist auch der Luftwiderstand, den das Objekt bietet. Normalerweise haben sparsame Autos auch gute cW-Werte.
Typische cW-Werte von Fahrzeugtypen
Nachdem wir jetzt wissen, was man alles braucht, um den cW-Wert zu berechnen, sind diese Werte nur ungefähre Ansatzpunkte. Klar dürfte bereits sein, dass ein SUV natürlich einen höheren cW-Wert aufweist – gerade, wenn er eine hohe Anhängelast haben soll -, als beispielsweise eine Limousine. Hier ein paar Eckdaten:
- cW-Werte SUVs: Meist zwischen 0,7 und 1,5
- cW-Werte Limousinen: Meist zwischen 0,5 und 0,6
- cW-Werte Kleinwagen: Meist zwischen 0,6 und 0,7
- cW-Werte Kombis: Meist bei 0,6

cW-Wert Tabelle: Diese Autos haben den besten cW-Wert
Um das Thema cW-Wert etwas anschaulicher zu machen, haben wir einige Autos mit sehr guten cW-Werten für euch rausgesucht. Dabei sind nur Modelle berücksichtigt, die auch in Serienfertigung gegangen sind – also keine Prototypen oder Kleinserien.
- Porsche Taycan – cW-Wert 0,22
- BYD Seal – cW-Wert 0,219
- Hyundai Ioniq 6 – cW-Wert 0,21
- Nio ET7 – cW-Wert 0,208
- Tesla Model S – cW-Wert 0,208
- Mercedes EQS – cW-Wert 0,202
- Lucid Air – cW-Wert 0,197